上一页高考选科首页

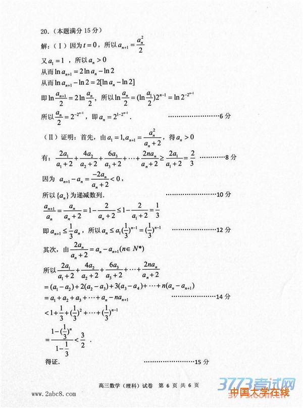
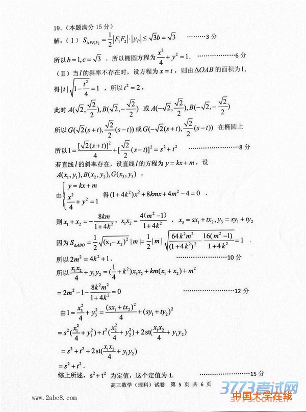
宁波市2016年高考模拟考试高三理科数学试题答案

2016宁波高三二模数学答案宁波市2016年高考模拟考试高三理科数学试题答案2016宁波高三二模数学答案宁波市2016年高考模拟考试高三理科数学试题答案

 
[NextPage]

2016宁波高三二模数学答案宁波市2016年高考模拟考试高三理科数学试题答案2016宁波高三二模数学答案宁波市2016年高考模拟考试高三理科数学试题答案

 
[NextPage]

2016宁波高三二模数学答案宁波市2016年高考模拟考试高三理科数学试题答案2016宁波高三二模数学答案宁波市2016年高考模拟考试高三理科数学试题答案

 
[NextPage]

2016宁波高三二模数学答案宁波市2016年高考模拟考试高三理科数学试题答案2016宁波高三二模数学答案宁波市2016年高考模拟考试高三理科数学试题答案

 
[NextPage]

2016宁波高三二模数学答案宁波市2016年高考模拟考试高三理科数学试题答案2016宁波高三二模数学答案宁波市2016年高考模拟考试高三理科数学试题答案




 


上一篇: 2016唐山二模英语试题及答案免费版

下一篇: 2016宁波二模数学文科试题及答案免费版

  • 相关推荐