上一页高考选科首页

宁波市2016年高考模拟考试高三数学文科试卷

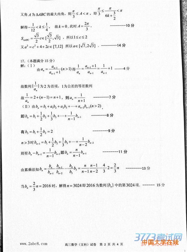
2016宁波二模数学答案宁波市2016年高考模拟考试高三数学文科试卷2016宁波二模数学答案宁波市2016年高考模拟考试高三数学文科试卷

 
[NextPage]

2016宁波二模数学答案宁波市2016年高考模拟考试高三数学文科试卷2016宁波二模数学答案宁波市2016年高考模拟考试高三数学文科试卷

 
[NextPage]

2016宁波二模数学答案宁波市2016年高考模拟考试高三数学文科试卷2016宁波二模数学答案宁波市2016年高考模拟考试高三数学文科试卷

 
[NextPage]

2016宁波二模数学答案宁波市2016年高考模拟考试高三数学文科试卷2016宁波二模数学答案宁波市2016年高考模拟考试高三数学文科试卷



 

上一篇: 2016宁波二模数学理科试题及答案免费版

下一篇: 2016年4月湖北七市联考文科数学试题及答案

  • 相关推荐