欢迎访问志愿传奇
联系我们
手机版
登录
首页
各省资讯
高考招生
院校导航
高考专业
高考志愿
强基计划
艺术院校
志愿传奇
高考倒计时
42
天
想不开,什么都是事;想得开,也就那么一回事。
您所在的位置:
新考网(原中国大学在线)
>>
辽宁高考
> 正文内容
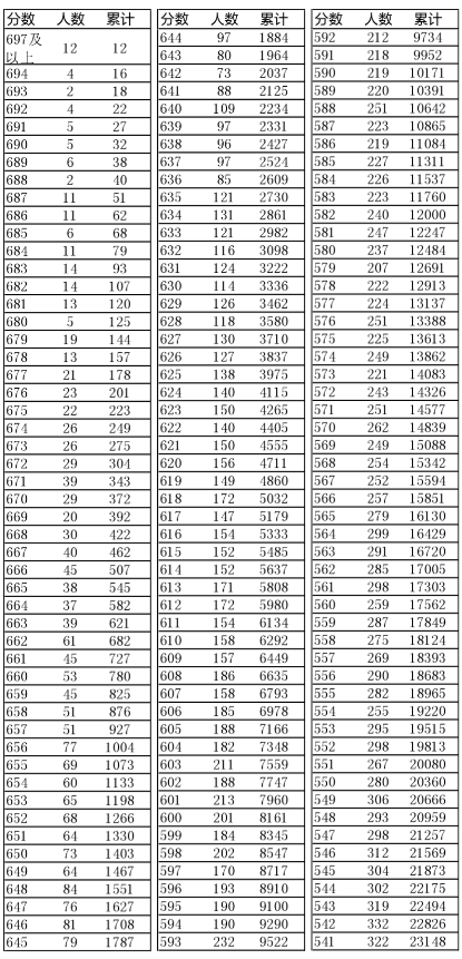
辽宁2016年“高考成绩一分一段表”发布
作者:
时间:
2019-01-19
辽宁2016年“高考成绩一分一段表”发布
文史类
理工类
上一篇:
2016辽宁高考分数线6月23日公布
下一篇:
2016辽宁高考成绩查询电话短信-辽宁招生考试之窗
相关文章
2017-04-16
2010年浙江省三模三电和定向比赛高考...
2017-04-16
2009年浙江进一步规范三模三电高考加分
2017-04-16
浙江2010年起三模三电高考加分有变
2017-04-16
2009年浙江省教育考试院迁址通告
2017-04-16
浙江省2010年普通高考考试说明出版
2017-04-16
浙江省2010年高考考试大纲说明出版
2017-04-16
2009辽宁三校生考试市场营销专业技能...
2017-04-16
辽宁2009年高考成绩查询方法时间
热门文章
1
中国本科专业目录2025年最新完整版-...
2
高中生如何根据学科特长选择专业?
3
中国人民解放军院校招收学员体格检查标准
4
最全汇总!62对孪生专业90%的考生家...
5
高考招生各省综合评价承担院校名单
6
2023强基计划报考百问百答,提前规划...
7
2023年我国最适合读大学的九座城市,...
8
2024年强基计划招生简章及23年分数线...
9
可以参加公安联考的35所院校
10
2024综合评价招生录取“潜规则”曝光...
11
985高校官宣:全面放开转专业限制!
12
Deep seek:2025高考志愿不建议报考...
13
2023年强基计划招生简章及22年分数线...
14
注意!这14个专业只上本科等于白上,...
15
国家专项计划、地方专项计划和高校专...
16
强基、综评招生下周开启?考多少分才...
加入家长群
QQ扫一扫,加入家长群
推荐文章
1
2025年强基计划入围分数线汇总
2
2026年强基计划招生简章汇总
3
2025—2028学年面向中小学生的全国性...
4
2025年强基计划招生简章全汇总
5
香港院校2025年招收内地本科生一览表
6
两会告诉我们:这些大学专业要火了!
7
高考志愿填报的概念
8
2025年 TOP会员项目 服务说明
9
【一文读懂】2025高考体检!检查项目...
10
2025年 升学规划项目 服务说明
11
六大澳门高校优势学科全面盘点
12
2024警校报考流程及时间-提前批报名流程
13
2024年江西普通高考综合改革百问百答
14
全网首发!2024年录取规则为专业清的...
15
物化捆绑已王炸,高中生近三年选科建议
16
2024年15省新高考选科分类报考人数大...
关注我们
关注微信公众号,了解最新精彩内容
关注抖音号
抖音扫一扫,立即关注我
联系我们
关注微信
返回顶部