上一页笔试试题首页

2014年北约联盟自主招生物理试题及答案

 

[NextPage]

2014年北约联盟自主招生物理试题及答案

 

[NextPage]

2014年北约联盟自主招生物理试题及答案

 

[NextPage]

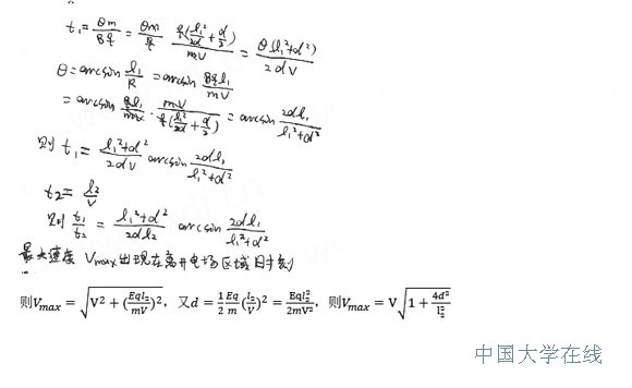
2014年北约联盟自主招生物理试题及答案

 

[NextPage]

2014年北约联盟自主招生物理试题及答案

 

[NextPage]

2014年北约联盟自主招生物理试题及答案

上一篇: 2014年武汉5部属高校校自主招生神题盘点

下一篇: 2014年卓越联盟自主招生数学试题及答案(完整版)

  • 相关推荐