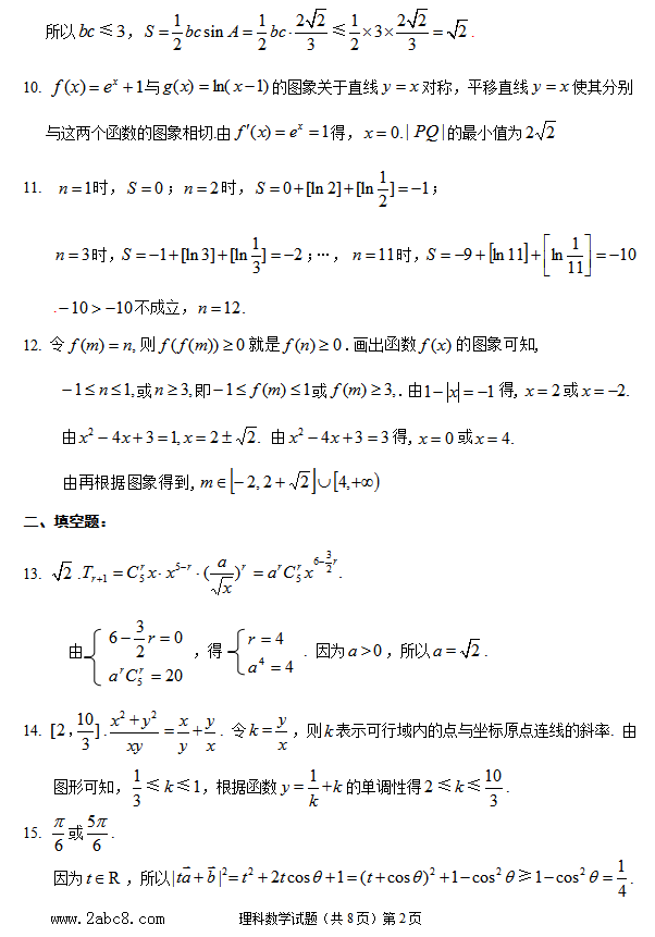
2016年安庆市高三模拟考试(三模)理科数学试题参考答案
一、选择题:本大题共12小题,每小题5分,满分60分.
题号 1 2 3 4 5 6 7 8 9 10 11 12
答案 A C B B D A C A B D C D


[NextPage]


[NextPage]


[NextPage]


2016年安庆市高三模拟考试(三模)理科数学试题参考答案
一、选择题:本大题共12小题,每小题5分,满分60分.
题号 1 2 3 4 5 6 7 8 9 10 11 12
答案 A C B B D A C A B D C D








上一篇: 2016安庆高三三模数学文科试题及答案
下一篇: 2016太原高三二模数学文科试题及答案
版权所有:圣辅教育科技 | 闽ICP备16009067号
Copyright @ 2016-2022 www.sinogaokao.com All Rights Reserved