上一页高考选科首页

2016年广州市普通高中毕业班综合测试二理科数学试题答案

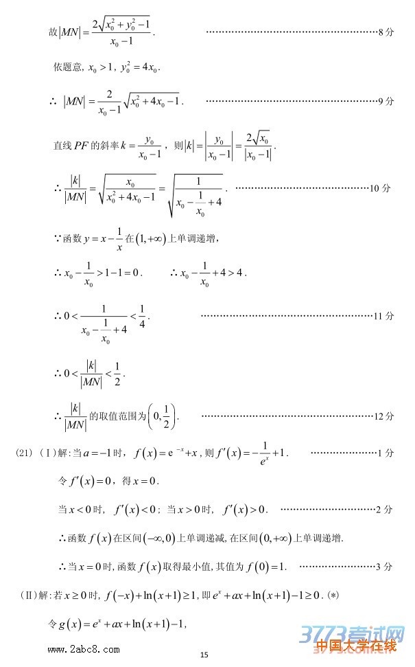
2016广州二模数学答案2016年广州市普通高中毕业班综合测试二理科数学试题答案2016广州二模数学答案2016年广州市普通高中毕业班综合测试二理科数学试题答案

 
[NextPage]

2016广州二模数学答案2016年广州市普通高中毕业班综合测试二理科数学试题答案2016广州二模数学答案2016年广州市普通高中毕业班综合测试二理科数学试题答案

 
[NextPage]

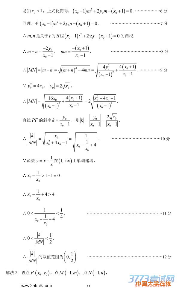
2016广州二模数学答案2016年广州市普通高中毕业班综合测试二理科数学试题答案2016广州二模数学答案2016年广州市普通高中毕业班综合测试二理科数学试题答案

 
[NextPage]

2016广州二模数学答案2016年广州市普通高中毕业班综合测试二理科数学试题答案2016广州二模数学答案2016年广州市普通高中毕业班综合测试二理科数学试题答案

 
[NextPage]

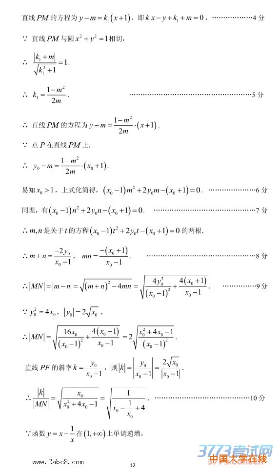
2016广州二模数学答案2016年广州市普通高中毕业班综合测试二理科数学试题答案2016广州二模数学答案2016年广州市普通高中毕业班综合测试二理科数学试题答案

 
[NextPage]

2016广州二模数学答案2016年广州市普通高中毕业班综合测试二理科数学试题答案2016广州二模数学答案2016年广州市普通高中毕业班综合测试二理科数学试题答案

 
[NextPage]

2016广州二模数学答案2016年广州市普通高中毕业班综合测试二理科数学试题答案2016广州二模数学答案2016年广州市普通高中毕业班综合测试二理科数学试题答案

 
[NextPage]

2016广州二模数学答案2016年广州市普通高中毕业班综合测试二理科数学试题答案2016广州二模数学答案2016年广州市普通高中毕业班综合测试二理科数学试题答案

 
[NextPage]

2016广州二模数学答案2016年广州市普通高中毕业班综合测试二理科数学试题答案2016广州二模数学答案2016年广州市普通高中毕业班综合测试二理科数学试题答案




 


上一篇: 2016乌鲁木齐三模文科数学试题及答案

下一篇: 2016乌鲁木齐三模数学理科试题及答案

  • 相关推荐