上一页高考选科首页

中原名校2016年高考仿真模拟四月份联考数学文科试题


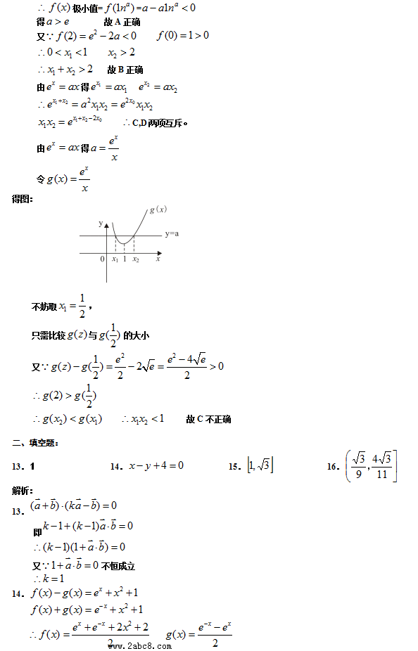
2016年4月中原名校2016年高考仿真模拟四月份联考数学文科试题答案2016年4月中原名校2016年高考仿真模拟四月份联考数学文科试题答案

 
[NextPage]

2016年4月中原名校2016年高考仿真模拟四月份联考数学文科试题答案2016年4月中原名校2016年高考仿真模拟四月份联考数学文科试题答案

 
[NextPage]

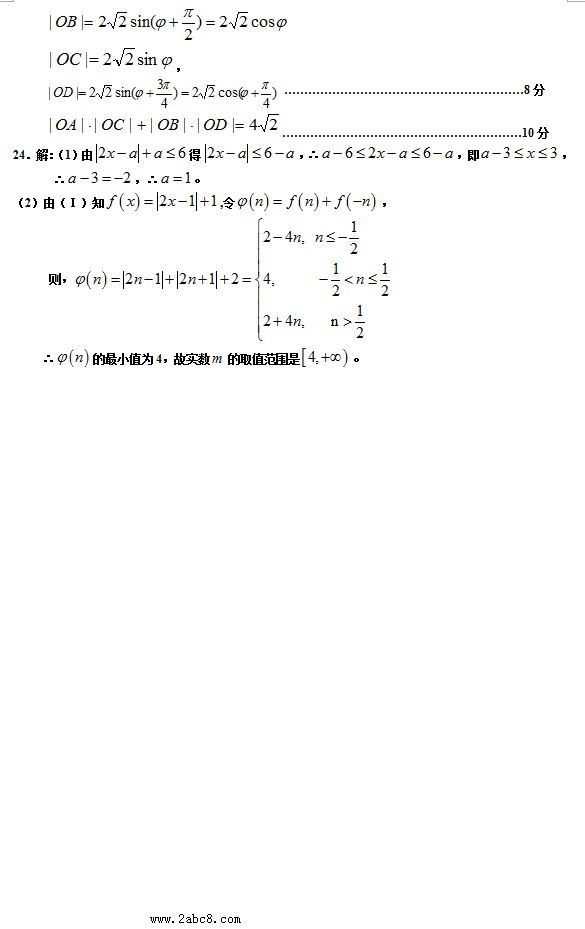
2016年4月中原名校2016年高考仿真模拟四月份联考数学文科试题答案2016年4月中原名校2016年高考仿真模拟四月份联考数学文科试题答案

 
[NextPage]

2016年4月中原名校2016年高考仿真模拟四月份联考数学文科试题答案2016年4月中原名校2016年高考仿真模拟四月份联考数学文科试题答案

 
[NextPage]

2016年4月中原名校2016年高考仿真模拟四月份联考数学文科试题答案2016年4月中原名校2016年高考仿真模拟四月份联考数学文科试题答案

 
[NextPage]
2016年4月中原名校2016年高考仿真模拟四月份联考数学文科试题答案2016年4月中原名校2016年高考仿真模拟四月份联考数学文科试题答案




 



上一篇: 2016河南中原名校联考数学理科试题及答案

下一篇: 2016甘肃二诊语文试题及答案 甘肃高考第二次模拟

  • 相关推荐