上一页高考选科首页

2016年杭州市第二次高考科目教学质量检测理科数学试题卷

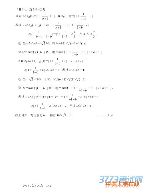
2016杭州二模数学答案2016年杭州市第二次高考科目教学质量检测理科数学试题卷2016杭州二模数学答案2016年杭州市第二次高考科目教学质量检测理科数学试题卷

 
[NextPage]

2016杭州二模数学答案2016年杭州市第二次高考科目教学质量检测理科数学试题卷2016杭州二模数学答案2016年杭州市第二次高考科目教学质量检测理科数学试题卷

 
[NextPage]

2016杭州二模数学答案2016年杭州市第二次高考科目教学质量检测理科数学试题卷2016杭州二模数学答案2016年杭州市第二次高考科目教学质量检测理科数学试题卷2016杭州二模数学答案2016年杭州市第二次高考科目教学质量检测理科数学试题卷




 

上一篇: 2016天一大联考数学理科试题及答案发布

下一篇: 2016兰州二诊文科数学试题及答案免费

  • 相关推荐