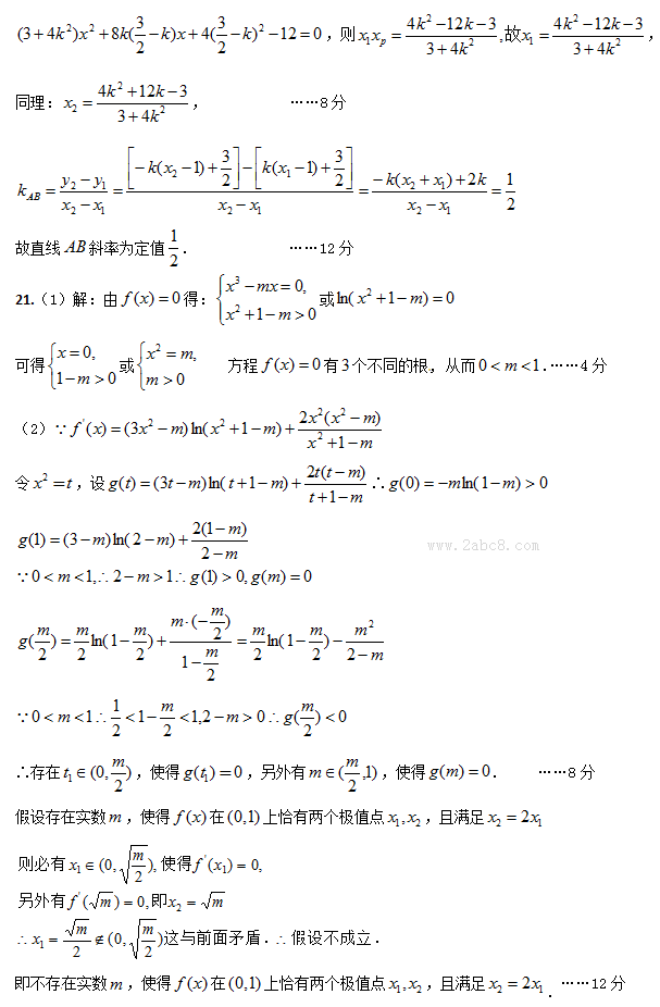
江西省八所重点中学盟校2016届高三联考理科数学试题



[NextPage]

[NextPage]


[NextPage]


[NextPage]


[NextPage]








上一篇: 2016芜湖一模英语试题及答案免费
下一篇: 2016绍兴一模数学文科试题及答案
版权所有:圣辅教育科技 | 闽ICP备16009067号
Copyright @ 2016-2022 www.sinogaokao.com All Rights Reserved