上一页高考选科首页

九江市2016年第二次高考模拟统一考试文科数学试题

秘密 2016年3月30日

2016九江高三二模数学答案九江市2016年第二次高考模拟统一考试数学试题答案文科2016九江高三二模数学答案九江市2016年第二次高考模拟统一考试数学试题答案文科

 
[NextPage]

2016九江高三二模数学答案九江市2016年第二次高考模拟统一考试数学试题答案文科2016九江高三二模数学答案九江市2016年第二次高考模拟统一考试数学试题答案文科

 
[NextPage]

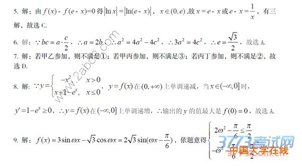
2016九江高三二模数学答案九江市2016年第二次高考模拟统一考试数学试题答案文科2016九江高三二模数学答案九江市2016年第二次高考模拟统一考试数学试题答案文科2016九江高三二模数学答案九江市2016年第二次高考模拟统一考试数学试题答案文科2016九江高三二模数学答案九江市2016年第二次高考模拟统一考试数学试题答案文科

 
[NextPage]

2016九江高三二模数学答案九江市2016年第二次高考模拟统一考试数学试题答案文科

2016九江高三二模数学答案九江市2016年第二次高考模拟统一考试数学试题答案文科

2016九江高三二模数学答案九江市2016年第二次高考模拟统一考试数学试题答案文科

2016九江高三二模数学答案九江市2016年第二次高考模拟统一考试数学试题答案文科

 
[NextPage]

2016九江高三二模数学答案九江市2016年第二次高考模拟统一考试数学试题答案文科

2016九江高三二模数学答案九江市2016年第二次高考模拟统一考试数学试题答案文科

2016九江高三二模数学答案九江市2016年第二次高考模拟统一考试数学试题答案文科

2016九江高三二模数学答案九江市2016年第二次高考模拟统一考试数学试题答案文科2016九江高三二模数学答案九江市2016年第二次高考模拟统一考试数学试题答案文科

 





上一篇: 2016年3月湖北省八校联考英语试题及答案

下一篇: 2016九江二模语文试题及答案免费版

  • 相关推荐