自贡市普高2016届第二次诊断性考试文科数学参考答案及评分标准
一、选择题(50分)文科 CBABC DCCBD
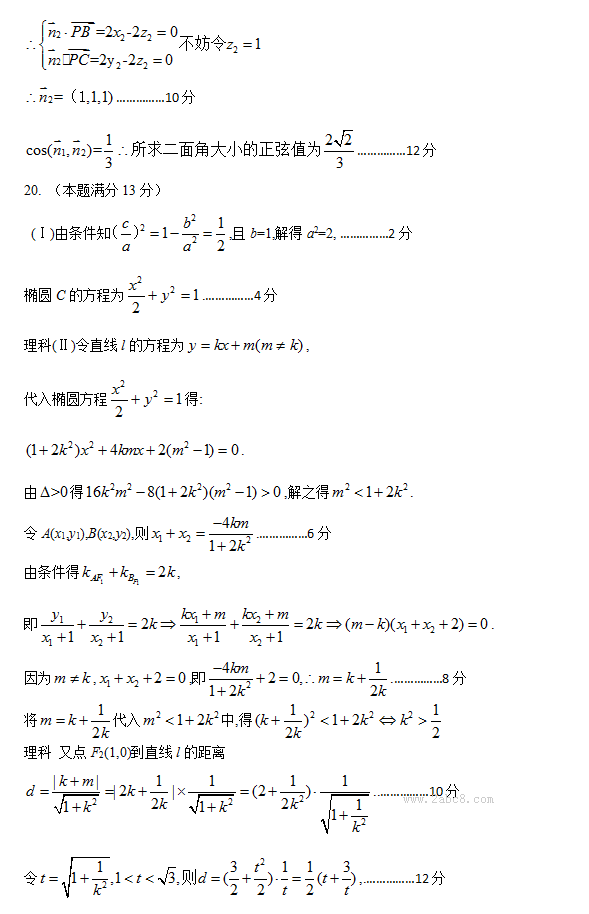
二、填空题(25分)


[NextPage]


[NextPage]


自贡市普高2016届第二次诊断性考试文科数学参考答案及评分标准
一、选择题(50分)文科 CBABC DCCBD
二、填空题(25分)






上一篇: 2016自贡二诊理科数学答案评分标准免费
下一篇: 2016成都二诊数学理科试题及答案免费
版权所有:圣辅教育科技 | 闽ICP备16009067号
Copyright @ 2016-2022 www.sinogaokao.com All Rights Reserved