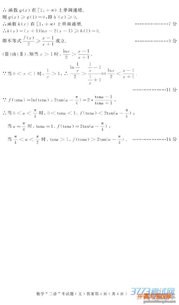
2016成都二诊考试已经开始,成都市教科院确定了2016年高三成都二诊的时间为2016年3月28~29日两天。 第一时间为大家整理了2016成都二诊各科试卷及答案,供大家参考。
高考选科
上一篇: 2016成都二诊数学理科试题及答案免费
下一篇: 2016郑州二模数学文科试题及答案免费版
- 相关推荐
- 高校自主招生2010年考试作文题半数考...2017-05-21
- 东北三省三校2010年二模理科数学答案2017-05-21
- 往年高考天津卷语文复习黄金卷1:字音2017-05-21
- 往年高考天津卷语文复习黄金卷2之字形2017-05-21
- 高频考点2017-05-21
- 高考英语阅读解题技巧2017-05-21
- 2010年海南省高考试题及答案2017-05-21
- 2010年宁夏回族自治区高考试题及答案2017-05-21
版权所有:圣辅教育科技 | 闽ICP备16009067号
Copyright @ 2016-2022 www.sinogaokao.com All Rights Reserved








