欢迎访问志愿传奇

高考倒计时16

不以规矩,不能成方圆。原则就是规矩和准则,意味着必须始终恪守的底线不能踩踏的红线。——【坚守原则】

您所在的位置: 新考网(原中国大学在线)>>河北高考 > 正文内容

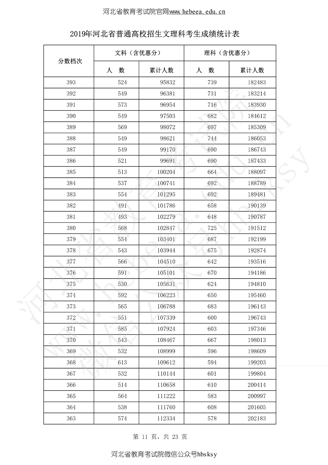
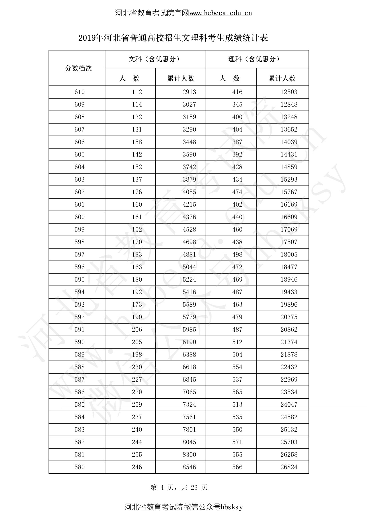
2019年河北省普通高校招生文理科考生成绩统计表

作者:  时间: 2019-06-24


加入家长群

QQ扫一扫,加入家长群

关注我们

关注微信公众号,了解最新精彩内容

关注抖音号

抖音扫一扫,立即关注我